
Ít ai có thể phủ nhận rằng sinh viên đại học ngày nay đang phải đối mặt với rất nhiều áp lực. Ngoài những căng thẳng và khó khăn thông thường trong quá trình học đại học (như thi cử và viết luận văn), sinh viên ngày nay còn phải đối mặt với học phí tăng cao, các khoản nợ và khó khăn trong tìm kiếm việc làm sau khi tốt nghiệp. Một số lượng đáng kể sinh viên không học đại học theo lối truyền thống có thể gặp phải thêm những áp lực khác, chẳng hạn như nuôi dạy con cái hoặc làm việc toàn thời gian trong khi đang cố gắng để lấy bằng.
Dĩ nhiên, cuộc sống còn đầy rẫy những thách thức khác ngoài những thách thức trong đại học hay công việc. Chúng ta có thể lo lắng về tài chính, khó khăn với bạn bè hoặc hàng xóm, trách nhiệm gia đình và có thể không đủ thời gian để làm những việc mình muốn làm. Thậm chí những phiền toái nhỏ như mất đồ, tắc đường và mất kết nối internet cũng tạo ra áp lực và những yêu cầu có thể khiến cuộc sống trở nên như một cuộc đấu tranh và làm giảm cảm giác hạnh phúc. Tất cả những điều này đều có thể gây căng thẳng ở một mức độ nào đó.
Sự quan tâm khoa học về căng thẳng, bao gồm cách chúng ta thích nghi và đối phó, đã tồn tại từ lâu trong ngành tâm lý học; thực sự, sau gần một thế kỷ nghiên cứu về chủ đề này, nhiều điều đã được khám phá và nhiều hiểu biết đã được phát triển. Chương này sẽ xem xét căng thẳng và nhấn mạnh sự hiểu biết hiện tại của chúng ta về hiện tượng này, bao gồm các bản chất tâm lý và sinh lý của nó, nguyên nhân và hậu quả của nó, và những bước chúng ta có thể thực hiện để kiểm soát căng thẳng thay vì trở thành nạn nhân của nó.
— Trích dịch từ cuốn sách Psychology 2e trên Openstax
Căng thẳng là gì?
Thuật ngữ “căng thẳng” (stress) liên quan đến tình trạng con người lần đầu tiên xuất hiện trong tài liệu khoa học vào những năm 1930, nhưng đến những năm 1970 nó mới trở thành ngôn ngữ phổ thông. Ngày nay, chúng ta thường sử dụng thuật ngữ này để miêu tả nhiều trạng thái cảm xúc khó chịu khác nhau. Ví dụ, chúng ta thường nói mình bị căng thẳng khi cảm thấy thất vọng, tức giận, mâu thuẫn, choáng ngợp, hoặc mệt mỏi. Mặc dù thuật ngữ này được sử dụng rộng rãi, căng thẳng vẫn là một khái niệm khá mơ hồ và khó định nghĩa chính xác.
Các nhà nghiên cứu đã gặp khó khăn trong việc đồng ý về một định nghĩa chấp nhận được cho căng thẳng. Một số người đã khái niệm hóa căng thẳng như là một sự kiện hoặc tình huống đòi hỏi hoặc đe dọa (ví dụ: một công việc căng thẳng cao, tình trạng đông đúc và đi quãng đường dài để làm việc). Những khái niệm hóa này được gọi là định nghĩa dựa trên kích thích vì chúng miêu tả căng thẳng như là một kích thích gây ra những phản ứng nhất định. Tuy nhiên, các định nghĩa dựa trên kích thích về căng thẳng có vấn đề vì chúng không thừa nhận rằng mỗi người khác nhau trong cách nhìn nhận và phản ứng với các sự kiện và tình huống khó khăn trong cuộc sống. Ví dụ, một sinh viên có ý thức học tập chăm chỉ suốt cả kỳ sẽ có khả năng trải qua ít căng thẳng hơn trong tuần thi cuối kỳ so với một sinh viên không chuẩn bị kỹ càng.
Ngược lại, có những người đã khái niệm hóa căng thẳng theo cách nhấn mạnh các phản ứng sinh lý xảy ra khi đối mặt với các tình huống đòi hỏi hoặc đe dọa (ví dụ: sự kích thích tăng lên). Những khái niệm hóa này được gọi là định nghĩa dựa trên phản ứng vì chúng miêu tả căng thẳng như là một phản ứng đối với điều kiện môi trường. Ví dụ, nhà nội tiết học Hans Selye, một nhà nghiên cứu nổi tiếng về căng thẳng, từng định nghĩa căng thẳng là “phản ứng của cơ thể đối với bất kỳ yêu cầu nào, dù do điều kiện dễ chịu hay không dễ chịu gây ra, hoặc dẫn đến” (Selye, 1976, trang 74). Định nghĩa về căng thẳng của Selye là định nghĩa dựa trên phản ứng vì nó khái niệm hóa căng thẳng chủ yếu theo phản ứng sinh lý của cơ thể đối với bất kỳ yêu cầu nào được đặt ra cho nó. Cả hai định nghĩa dựa trên kích thích lẫn dựa trên phản ứng đều không cung cấp một định nghĩa hoàn chỉnh về căng thẳng. Nhiều phản ứng sinh lý xảy ra khi đối mặt với các tình huống đòi hỏi (ví dụ: nhịp tim tăng tốc) cũng có thể xảy ra để đáp ứng với những điều mà hầu hết mọi người sẽ không coi là căng thẳng thực sự, chẳng hạn như nhận được tin tốt không mong đợi: một sự thăng chức hoặc tăng lương bất ngờ.
Một cách hữu ích để khái niệm hóa căng thẳng (stress) là xem nó như một quá trình mà qua đó một cá nhân nhận thức và phản ứng với các sự kiện mà họ đánh giá là quá sức hoặc đe dọa đến sự an lành của họ (Lazarus & Folkman, 1984). Một yếu tố quan trọng trong định nghĩa này đó là nhấn mạnh tầm quan trọng của cách chúng ta đánh giá – tức là, phán đoán – các sự kiện đòi hỏi hoặc đe dọa (thường được gọi là tác nhân gây căng thẳng). Các đánh giá này, đến lượt nó, ảnh hưởng đến phản ứng của chúng ta đối với những sự kiện như vậy. Hai loại đánh giá về tác nhân gây căng thẳng đặc biệt quan trọng trong việc này: đánh giá sơ cấp và đánh giá thứ cấp. Đánh giá sơ cấp (primary appraisal) liên quan đến phán đoán về mức độ tiềm ẩn của tổn hại hoặc mối đe dọa đối với sự an lành mà một tác nhân gây căng thẳng có thể gây ra. Một tác nhân gây căng thẳng có thể được đánh giá là một mối đe dọa nếu người ta dự đoán rằng nó có thể dẫn đến một dạng tổn hại, mất mát hoặc hậu quả tiêu cực khác; ngược lại, một tác nhân gây căng thẳng có thể được đánh giá là một thách thức nếu người ta tin rằng nó mang lại tiềm năng cho sự phát triển hoặc tiến bộ cá nhân. Ví dụ, một nhân viên được thăng chức lên vị trí lãnh đạo có thể coi việc thăng chức là một mối đe dọa lớn hơn nhiều nếu họ tin rằng việc thăng chức sẽ dẫn đến các yêu cầu công việc quá mức so với nếu họ coi nó là cơ hội để phát triển kỹ năng mới và phát triển nghề nghiệp. Tương tự, một sinh viên đại học sắp tốt nghiệp có thể đối mặt với sự thay đổi này như một mối đe dọa hoặc một thách thức.

Hình 1. Tốt nghiệp đại học và gia nhập lực lượng lao động có thể được xem xét như là một mối đe dọa (mất hỗ trợ tài chính) hoặc một thách thức (cơ hội độc lập và phát triển). (Nguồn: Timothy Zanker)
Nhận thức về một mối đe dọa sẽ dẫn đến việc đánh giá thứ cấp (secondary appraisal): đó là việc xem xét các lựa chọn có sẵn để đối phó với tác nhân gây căng thẳng, cũng như đánh giá mức độ hiệu quả của những lựa chọn đó (Lyon, 2012) (xem Hình 2). Bạn có thể nhớ lại khái niệm tự hiệu quả (tin vào khả năng của bản thân), niềm tin của một người vào khả năng hoàn thành nhiệm vụ rất quan trọng (Bandura, 1994). Một mối đe dọa thường được xem là ít nghiêm trọng hơn nếu người ta tin rằng có thể làm gì đó để giải quyết vấn đề (Lazarus & Folkman, 1984). Hãy tưởng tượng hai phụ nữ trung niên, Robin và Madhuri, tự kiểm tra ngực vào một buổi sáng và cả hai đều phát hiện một khối u nhỏ ở vùng dưới ngực trái.
Mặc dù cả hai đều xem khối u này là một mối đe dọa tiềm tàng (đánh giá sơ cấp), nhưng cách họ đánh giá tình huống này lại rất khác nhau. Robin, khi suy nghĩ về khối u, có những lo lắng như: “Ôi trời ơi, có thể mình đã bị ung thư vú! Nếu ung thư đã lan khắp cơ thể và mình không thể hồi phục thì sao? Nếu mình phải trải qua hóa trị thì sao? Mình đã nghe nói rằng đó là một trải nghiệm kinh khủng! Nếu mình phải nghỉ việc thì sao? Làm sao chúng mình có đủ tiền để trả nợ thế chấp? Chuyện này thật kinh khủng… Mình không thể đối phó nổi!” Trong khi đó, Madhuri lại nghĩ: “Ừm, điều này có thể không ổn. Mặc dù phần lớn các trường hợp này thường lành tính, nhưng mình cần đi kiểm tra. Nếu đó là ung thư vú, sẽ có các bác sĩ giỏi giúp đỡ vì công nghệ y tế ngày nay rất tiên tiến. Mình sẽ có nhiều lựa chọn và mọi chuyện sẽ ổn thôi.” Rõ ràng, Robin và Madhuri có những cách nhìn nhận khác nhau về tình huống có thể rất nghiêm trọng này: Robin dường như nghĩ rằng không có nhiều điều có thể làm, trong khi Madhuri tin rằng, ngay cả trong trường hợp xấu nhất, vẫn có nhiều lựa chọn khả thi. Do đó, Robin sẽ trải qua mức độ căng thẳng lớn hơn so với Madhuri.

Hình 2. Khi đối mặt với một tác nhân gây căng thẳng, một người sẽ đánh giá mức độ đe dọa tiềm tàng của nó (đánh giá sơ cấp) và sau đó xác định liệu có những lựa chọn hiệu quả để quản lý tình huống hay không. Căng thẳng có khả năng xảy ra nếu tác nhân gây căng thẳng được nhận thức là cực kỳ đe dọa hoặc đe dọa nhưng lại không có hoặc có rất ít lựa chọn đối phó hiệu quả.
Chắc chắn rằng, một số tác nhân gây căng thẳng tự bản chất đã gây ra nhiều căng thẳng hơn những tác nhân khác bởi vì chúng mang tính đe dọa nhiều hơn và ít khả năng thay đổi trong cách đánh giá về mặt nhận thức (ví dụ, những mối đe dọa rõ ràng đối với sức khỏe hoặc sự an toàn của một người). Tuy nhiên, việc đánh giá vẫn đóng vai trò quan trọng trong việc tăng cường hoặc giảm thiểu phản ứng của chúng ta đối với những sự kiện như vậy (Everly & Lating, 2002).
Nếu một người đánh giá một sự kiện là có hại và tin rằng những yêu cầu mà sự kiện đó đặt ra vượt quá nguồn lực sẵn có để quản lý hoặc thích ứng, người đó sẽ trải qua trạng thái căng thẳng một cách chủ quan. Ngược lại, nếu người đó không đánh giá sự kiện này là có hại hoặc đe dọa, họ khó có thể trải qua căng thẳng. Theo quan điểm này, căng thẳng phần lớn nằm trong cách nhìn nhận của người trải nghiệm: không phải vấn đề nằm ở những gì xảy ra với bạn mà là cách bạn phản ứng (Selye, 1976).
Căng thẳng tích cực?
Mặc dù căng thẳng thường mang ý nghĩa tiêu cực, nhưng đôi khi nó cũng có thể mang lại một số lợi ích nhất định, giúp thúc đẩy chúng ta làm những điều tốt cho mình, chẳng hạn như học bài thi, đi khám bác sĩ định kỳ, tập thể dục, và làm việc hết khả năng của mình. Thực tế, Selye (1974) đã chỉ ra rằng không phải tất cả căng thẳng đều có hại. Ông lập luận rằng căng thẳng đôi khi có thể là một lực thúc đẩy tích cực, có thể cải thiện chất lượng cuộc sống của chúng ta. Loại căng thẳng này, mà Selye gọi là eustress (từ tiếng Hy Lạp “eu” = “tốt”), là một dạng căng thẳng tích cực liên quan đến cảm xúc tích cực, sức khỏe tối ưu, và hiệu suất. Một mức độ căng thẳng vừa phải có thể có lợi, chẳng hạn như giúp tăng cường khả năng ghi nhớ tài liệu học tập. Trong một nghiên cứu, những người tham gia đã ghi nhớ một đoạn văn khoa học và có sự cải thiện khả năng nhớ lại đoạn văn này ngay sau khi trải qua một tác nhân gây căng thẳng nhẹ và cũng như một ngày sau khi tiếp xúc với tác nhân gây căng thẳng đó (Hupbach & Fieman, 2012).
Tăng mức độ căng thẳng của một người sẽ dẫn đến sự thay đổi về hiệu suất theo một cách có thể dự đoán được. Trong Hình 3, khi căng thẳng tăng lên, hiệu suất và sự cảm nhận chung về sức khỏe cũng tăng lên (eustress); khi mức độ căng thẳng đạt đến mức tối ưu (điểm cao nhất của đường cong), hiệu suất đạt đỉnh. Một người ở mức căng thẳng này thường được gọi là đang ở “đỉnh cao của họ”, nghĩa là họ cảm thấy tràn đầy năng lượng, tập trung và có thể làm việc với nỗ lực tối thiểu và hiệu quả tối đa. Tuy nhiên, nếu căng thẳng tiếp tục tăng lên quá mức, nó sẽ chuyển thành căng thẳng tiêu cực, hay còn gọi là distress (từ tiếng Latin “dis” = “xấu”). Những người đạt đến mức căng thẳng này cảm thấy kiệt sức; họ mệt mỏi, suy nhược và hiệu suất bắt đầu giảm sút. Nếu căng thẳng kéo dài quá mức, sức khỏe cũng có thể bắt đầu suy giảm (Everly & Lating, 2002). Một ví dụ điển hình của distress là lo âu thi cử nghiêm trọng. Khi sinh viên cảm thấy quá căng thẳng về một bài kiểm tra, những cảm xúc tiêu cực kết hợp với các triệu chứng thể chất có thể khiến việc tập trung trở nên khó khăn, từ đó ảnh hưởng tiêu cực đến điểm số kiểm tra.

Hình 3. Khi mức độ căng thẳng tăng từ thấp đến trung bình, hiệu suất cũng tăng lên (căng thẳng tích cực - eustress). Ở mức tối ưu (đỉnh của đường cong), hiệu suất đã đạt đến đỉnh cao nhất. Nếu căng thẳng vượt quá mức tối ưu, nó sẽ bước vào vùng căng thẳng tiêu cực (distress), nơi căng thẳng trở nên quá mức và gây suy nhược, dẫn đến hiệu suất giảm sút (Everly & Lating, 2002).
Sự phổ biến của căng thẳng
Căng thẳng hiện diện ở khắp mọi nơi, gia tăng trong những năm gần đây. Mỗi người trong chúng ta đều quen thuộc với căng thẳng – một số người quen thuộc hơn những người khác. Theo nhiều cách, căng thẳng giống như một gánh nặng mà bạn không thể mang nổi – một cảm giác mà bạn trải qua khi, chẳng hạn, bạn phải lái xe trong một cơn bão tuyết, khi bạn thức dậy muộn vào buổi sáng của một cuộc phỏng vấn việc làm quan trọng, khi bạn hết tiền trước kỳ trả lương tiếp theo, hoặc trước khi tham gia một kỳ thi quan trọng mà bạn nhận ra mình chưa chuẩn bị đầy đủ.

Hình 4. Gần một nửa người trưởng thành ở Hoa Kỳ cho biết mức độ stress của họ đã tăng trong vòng năm năm qua (Neelakantan, 2013).
Căng thẳng là một trải nghiệm kích hoạt nhiều phản ứng khác nhau, bao gồm các phản ứng sinh lý (ví dụ: nhịp tim tăng nhanh, đau đầu, hoặc các vấn đề về tiêu hóa), nhận thức (ví dụ: khó tập trung hoặc đưa ra quyết định), và hành vi (ví dụ: uống rượu, hút thuốc, hoặc thực hiện các hành động nhằm loại bỏ nguyên nhân gây căng thẳng). Mặc dù căng thẳng đôi khi có thể mang lại lợi ích, nhưng nó cũng có thể gây ra những tác động tiêu cực đến sức khỏe, góp phần vào sự khởi phát và tiến triển của nhiều bệnh tật và tình trạng sức khỏe kém (Cohen & Herbert, 1996).
Nghiên cứu khoa học về cách căng thẳng và các yếu tố tâm lý khác ảnh hưởng đến sức khỏe nằm trong phạm vi của tâm lý học sức khỏe, một lĩnh vực con của tâm lý học chuyên nghiên cứu tầm quan trọng của các ảnh hưởng tâm lý đối với sức khỏe, bệnh tật, và cách mọi người phản ứng khi họ bị bệnh (Taylor, 1999). Tâm lý học sức khỏe xuất hiện như một ngành khoa học vào những năm 1970, thời điểm mà nhận thức về vai trò của các yếu tố hành vi và lối sống trong sự phát triển của bệnh tật ngày càng gia tăng (Straub, 2007). Bên cạnh việc nghiên cứu mối liên hệ giữa căng thẳng và bệnh tật, các nhà tâm lý học sức khỏe còn điều tra các vấn đề như tại sao mọi người lại đưa ra những lựa chọn lối sống nhất định (ví dụ: hút thuốc hoặc ăn uống không lành mạnh dù biết các tác động tiêu cực tiềm ẩn đối với sức khỏe từ những hành vi này). Các nhà tâm lý học sức khỏe cũng thiết kế và đánh giá hiệu quả của các can thiệp nhằm thay đổi các hành vi không lành mạnh. Có lẽ một trong những nhiệm vụ cơ bản hơn của các nhà tâm lý học sức khỏe là xác định nhóm người nào có nguy cơ đặc biệt cao đối với các kết quả sức khỏe tiêu cực, dựa trên các yếu tố tâm lý hoặc hành vi. Ví dụ, đo lường sự khác biệt trong mức độ căng thẳng giữa các nhóm nhân khẩu học và cách những mức độ này thay đổi theo thời gian có thể giúp xác định những nhóm dân số có nguy cơ cao hơn đối với bệnh tật.
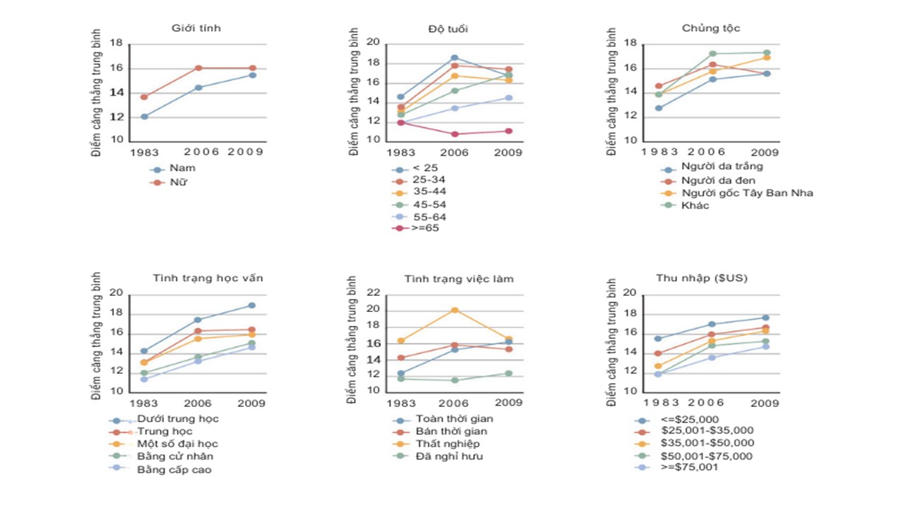
Hình 5 minh họa kết quả của ba cuộc khảo sát quốc gia trong đó vài nghìn người từ các nhóm nhân khẩu học khác nhau đã hoàn thành một bảng câu hỏi ngắn về căng thẳng; các cuộc khảo sát được thực hiện vào năm 1983, 2006 và 2009 (Cohen & Janicki – Deverts, 2012). Cả ba cuộc khảo sát đều cho thấy phụ nữ trải qua căng thẳng cao hơn nam giới. Những người thất nghiệp báo cáo mức độ căng thẳng cao trong cả ba cuộc khảo sát, cũng như những người có trình độ học vấn và thu nhập thấp hơn; những người đã nghỉ hưu báo cáo mức độ căng thẳng thấp nhất. Tuy nhiên, từ năm 2006 đến 2009, sự gia tăng mức độ căng thẳng lớn nhất xảy ra ở nam giới, người gốc Tây Ban Nha từ 45–64 tuổi, những người tốt nghiệp đại học, và những người có việc làm toàn thời gian. Một cách diễn giải các phát hiện này là những lo ngại xung quanh cuộc suy thoái kinh tế 2008–2009 (ví dụ: mối đe dọa hoặc thực tế bị mất việc và sự mất mát đáng kể trong khoản tiết kiệm hưu trí) có thể đã đặc biệt gây căng thẳng cho những người đàn ông có trình độ đại học, có công việc ổn định, nhưng chỉ còn lại ít thời gian làm việc trong sự nghiệp của họ.

Hình 5. Các biểu đồ trên, được điều chỉnh từ Cohen & Janicki - Deverts (2012), mô tả điểm số mức độ căng thẳng trung bình giữa các nhóm nhân khẩu học khác nhau trong các năm 1983, 2006 và 2009. Qua các danh mục giới tính, tuổi tác, chủng tộc, trình độ học vấn, tình trạng việc làm và thu nhập, mức độ căng thẳng nói chung cho thấy sự gia tăng rõ rệt trong khoảng thời gian một phần tư thế kỷ này.
Những đóng góp ban đầu cho nghiên cứu về căng thẳng
Như đã đề cập trước đó, sự quan tâm khoa học đến căng thẳng đã bắt đầu từ gần một thế kỷ trước. Một trong những người tiên phong sớm trong nghiên cứu về căng thẳng là Walter Cannon, một nhà sinh lý học người Mỹ nổi tiếng tại Trường Y Harvard. Vào đầu thế kỷ 20, Cannon là người đầu tiên xác định các phản ứng sinh lý của cơ thể đối với căng thẳng.

Hình 6. Nhà sinh lý học Walter Cannon tại Harvard là người đầu tiên đưa ra khái niệm và đặt tên cho phản ứng "chiến đấu hoặc bỏ chạy" (fight - or - flight response), phản ứng của hệ thần kinh giao cảm đối với một tác nhân gây căng thẳng đáng kể.
Cannon và phản ứng chiến đấu hoặc bỏ chạy
Hãy tưởng tượng bạn đang đi bộ đường dài trên những ngọn núi đẹp của Colorado vào một ngày xuân ấm áp và đầy nắng. Tại một thời điểm trong chuyến đi, một con gấu đen lớn, trông đáng sợ, xuất hiện từ phía sau một bụi cây và ngồi cách bạn khoảng 50 mét. Con gấu nhận thấy bạn, ngồi dậy và bắt đầu tiến về phía bạn. Ngoài việc nghĩ, “Điều này chắc chắn không tốt chút nào,” một loạt các phản ứng sinh lý bắt đầu diễn ra bên trong bạn. Được kích hoạt bởi một lượng lớn epinephrine (adrenaline) và norepinephrine (noradrenaline) từ tuyến thượng thận, đồng tử của bạn bắt đầu giãn ra. Tim bạn bắt đầu đập mạnh và tăng tốc, bạn bắt đầu thở gấp và đổ mồ hôi, bạn cảm thấy lo lắng trong dạ dày, và các cơ bắp của bạn trở nên căng thẳng, chuẩn bị cho bạn thực hiện một hành động nào đó. Cannon đã đề xuất rằng phản ứng này, mà ông gọi là phản ứng “chiến đấu hoặc bỏ chạy,” xảy ra khi một người trải qua những cảm xúc rất mạnh mẽ – đặc biệt là những cảm xúc liên quan đến một mối đe dọa nhận thức được (Cannon, 1932). Trong phản ứng “chiến đấu hoặc bỏ chạy,” cơ thể nhanh chóng bị kích thích bởi sự kích hoạt của cả hệ thần kinh giao cảm và hệ nội tiết (Hình 7). Sự kích thích này giúp chuẩn bị cho người đó hoặc là chiến đấu hoặc bỏ chạy khỏi mối đe dọa mà họ nhận thức được.

Hình 7. Phản ứng "chiến đấu hoặc bỏ chạy" là một phản ứng sinh lý đối với tác nhân gây căng thẳng.
Theo Cannon, phản ứng này là một cơ chế tích hợp giúp duy trì cân bằng nội môi – một môi trường nội tại trong đó các biến số sinh lý như huyết áp, hô hấp, tiêu hóa và nhiệt độ được ổn định ở mức tối ưu cho sự sống còn. Do đó, Cannon coi phản ứng “chiến đấu hoặc bỏ chạy” là một phản ứng thích nghi vì nó cho phép con người điều chỉnh cả bên trong lẫn bên ngoài để đối phó với các mối đe dọa trong môi trường, giúp họ tồn tại và vượt qua mối đe dọa.
Selye và hội chứng thích ứng chung
Một nhà đóng góp quan trọng khác cho lĩnh vực nghiên cứu căng thẳng là Hans Selye, như đã được đề cập trước đó. Ông sau này đã trở thành một trong những chuyên gia hàng đầu thế giới trong việc nghiên cứu về căng thẳng. Khi còn là một trợ lý trẻ trong khoa hóa sinh tại Đại học McGill vào những năm 1930, Selye đã tham gia vào nghiên cứu liên quan đến hormone sinh dục ở chuột. Mặc dù ông không tìm ra câu trả lời cho mục tiêu nghiên cứu ban đầu của mình, nhưng ông tình cờ phát hiện rằng khi tiếp xúc với kích thích tiêu cực kéo dài (các tác nhân gây căng thẳng) – chẳng hạn như lạnh cực độ, chấn thương phẫu thuật, tập luyện cơ bắp quá mức, và sốc – những con chuột đã cho thấy các dấu hiệu phì đại tuyến thượng thận, co nhỏ tuyến ức và hạch bạch huyết, và loét dạ dày. Selye nhận ra rằng những phản ứng này được kích hoạt bởi một loạt các phản ứng sinh lý phối hợp, diễn ra theo thời gian khi tiếp tục tiếp xúc với tác nhân gây căng thẳng. Những phản ứng sinh lý này là không đặc hiệu, có nghĩa là bất kể loại tác nhân gây căng thẳng nào, cùng một mô hình phản ứng sẽ xảy ra. Điều mà Selye đã phát hiện ra là hội chứng thích ứng chung, tức là phản ứng sinh lý không đặc hiệu của cơ thể đối với căng thẳng.

Hình 8. Hans Selye chuyên nghiên cứu về căng thẳng. Vào năm 2009, quê hương Hungary của ông đã vinh danh công trình của ông bằng việc phát hành con tem này, được phát hành cùng với Hội nghị Thế giới lần thứ 2 về Căng thẳng.
Hội chứng thích ứng chung, được minh họa trong Hình 9, bao gồm ba giai đoạn: (1) phản ứng báo động, (2) giai đoạn kháng cự, và (3) giai đoạn kiệt sức (Selye, 1936; 1976). Phản ứng báo động mô tả phản ứng tức thời của cơ thể khi đối mặt với một tình huống đe dọa hoặc khẩn cấp, và nó tương tự với phản ứng “chiến đấu hoặc bỏ chạy” (phản ứng “chiến” hay “biến”) mà Cannon đã mô tả. Trong giai đoạn phản ứng báo động, bạn được cảnh báo về một tác nhân gây căng thẳng, và cơ thể bạn sẽ báo động bạn bằng một loạt các phản ứng sinh lý, cung cấp cho bạn năng lượng để đối phó với tình huống. Ví dụ, một người thức dậy giữa đêm và phát hiện ra nhà của mình đang cháy sẽ trải qua phản ứng báo động.

Hình 9. Ba giai đoạn của hội chứng thích ứng chung của Selye trong biểu đồ này. Căng thẳng kéo dài cuối cùng dẫn đến kiệt sức.
Nếu việc tiếp xúc với tác nhân gây căng thẳng kéo dài, cơ thể sẽ bước vào giai đoạn kháng cự. Trong giai đoạn này, cú sốc ban đầu của phản ứng báo động đã giảm đi và cơ thể đã thích nghi với tác nhân gây căng thẳng. Tuy nhiên, cơ thể vẫn duy trì trạng thái cảnh giác và sẵn sàng phản ứng như đã làm trong phản ứng báo động, dù cường độ có thể giảm bớt. Ví dụ, giả sử một đứa trẻ bị mất tích và sau 72 giờ vẫn chưa được tìm thấy. Mặc dù cha mẹ rõ ràng vẫn còn rất lo lắng, nhưng cường độ của các phản ứng sinh lý có thể đã giảm bớt trong khoảng thời gian 72 giờ này do cơ thể đã phần nào thích nghi với sự kiện này.
Nếu việc tiếp xúc với tác nhân gây căng thẳng tiếp tục kéo dài hơn nữa, giai đoạn kiệt sức sẽ xảy ra. Ở giai đoạn này, cơ thể không còn khả năng thích nghi với tác nhân gây căng thẳng: khả năng kháng cự của cơ thể trở nên cạn kiệt khi cơ thể bắt đầu bị tổn thương do sự hao mòn về mặt thể chất. Kết quả là, bệnh tật, bệnh lý và những tổn thương vĩnh viễn đối với cơ thể – thậm chí là tử vong – có thể xảy ra. Nếu đứa trẻ mất tích vẫn chưa được tìm thấy sau ba tháng, căng thẳng kéo dài liên quan đến tình huống này có thể khiến cha mẹ kiệt sức, thậm chí phát triển một căn bệnh nghiêm trọng và không thể hồi phục.
Tóm lại, hội chứng thích ứng chung của Selye cho thấy rằng các tác nhân gây căng thẳng làm tiêu hao cơ thể qua ba giai đoạn – một cú sốc ban đầu, sau đó là sự tái điều chỉnh, và cuối cùng là sự cạn kiệt của tất cả các nguồn lực thể chất – kết quả là dẫn đến các vấn đề sức khỏe nghiêm trọng và thậm chí là tử vong. Tuy nhiên, cần lưu ý rằng mô hình này là một khái niệm dựa trên phản ứng, tập trung chủ yếu vào các phản ứng sinh lý của cơ thể trong khi phần lớn bỏ qua các yếu tố tâm lý như đánh giá và diễn giải các mối đe dọa.
Dù vậy, mô hình của Selye đã có tác động rất lớn đến lĩnh vực nghiên cứu căng thẳng vì nó cung cấp một giải thích tổng quát về cách căng thẳng có thể dẫn đến tổn thương thể chất và do đó gây ra bệnh tật. Như chúng ta sẽ thảo luận sau, căng thẳng kéo dài hoặc lặp đi lặp lại đã được cho là liên quan đến sự phát triển của một số rối loạn như cao huyết áp và bệnh động mạch vành.
Cơ sở sinh lý của căng thẳng
Điều gì xảy ra bên trong cơ thể chúng ta khi chúng ta trải qua căng thẳng? Các cơ chế sinh lý của căng thẳng cực kỳ phức tạp, nhưng chúng thường liên quan đến hoạt động của hai hệ thống – hệ thần kinh giao cảm và trục hạ đồi – tuyến yên – thượng thận (HPA). Khi một người lần đầu tiên nhận thấy điều gì đó là căng thẳng (phản ứng báo động của Selye), hệ thần kinh giao cảm sẽ kích hoạt sự hưng phấn thông qua việc giải phóng adrenaline từ tuyến thượng thận. Việc giải phóng các hormone này kích hoạt các phản ứng “chiến đấu hoặc bỏ chạy” đối với căng thẳng, chẳng hạn như nhịp tim và hô hấp tăng tốc. Đồng thời, trục HPA, chủ yếu liên quan đến nội tiết, cũng trở nên đặc biệt hoạt động, mặc dù nó hoạt động chậm hơn nhiều so với hệ thần kinh giao cảm. Để đối phó với căng thẳng, vùng hạ đồi (một trong những cấu trúc của hệ viền trong não) giải phóng hormone giải phóng corticotropin, một hormone khiến tuyến yên tiết ra hormone adrenocorticotropic (ACTH) (Hình 10). ACTH sau đó kích hoạt tuyến thượng thận tiết ra một số hormone vào máu; một trong những hormone quan trọng là cortisol, có thể ảnh hưởng đến hầu hết mọi cơ quan trong cơ thể. Cortisol thường được biết đến như một hormone căng thẳng và giúp cung cấp sự bùng nổ năng lượng khi chúng ta lần đầu gặp phải tác nhân gây căng thẳng, chuẩn bị cho chúng ta chạy trốn hoặc chiến đấu. Tuy nhiên, mức cortisol cao kéo dài làm suy yếu hệ thống miễn dịch.

Hình 10. Sơ đồ này minh họa hoạt động của trục hạ đồi - tuyến yên - thượng thận (HPA). Vùng hạ đồi kích hoạt tuyến yên, sau đó tuyến yên kích hoạt tuyến thượng thận, làm tăng sự tiết cortisol.
— Trích dịch từ cuốn sách Psychology 2e trên Openstax
Phần 2: Các tác nhân gây căng thẳng
Skip to content




